在现代工业和科研领域,质量流量计(Mass Flow Meter)是精确测量气体或液体质量流量的关键设备。无论是半导体制造、燃料电池,还是环境监测,质量流量计都扮演着不可少的角色。本文将深入解析质量流量计的工作原理,帮助您理解这一精密仪器背后的科学逻辑。

一、质量流量计的核心概念
质量流量计的核心任务是测量流体(气体或液体)的质量流量,即单位时间内通过某一截面的流体质量。与体积流量不同,质量流量不受温度、压力变化的影响,因此在需要高精度控制的场景中尤为重要。
根据工作原理,质量流量计主要分为以下几种类型:
1. 热式质量流量计
2. 层流压差式质量流量计
3. 科里奥利(Coriolis)质量流量计
以下将重点介绍前两种类型的工作原理。
二、热式质量流量计的工作原理
热式质量流量计基于热传导原理,通过测量流体流动时的热传递效应来推算质量流量。其工作过程可分为以下几个步骤:
1. 加热元件与温度传感器
流体流经传感器时,加热元件(如热线或热膜)将流体加热,同时两个温度传感器分别测量加热前后的流体温度。
2. 热传递效应
流体流动时会带走热量,导致加热元件与下游温度传感器之间的温差变化。流体流量越大,带走的热量越多,温差变化越明显。
3. 质量流量计算
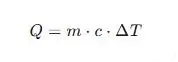
根据热传递的物理公式:

其中:
Q 为热传递速率;
m 为质量流量;
c为流体比热容;
ΔT为温差。
通过测量温差ΔT ,结合流体的比热容c,即可计算出质量流量 m。
优势:结构简单、成本低、响应速度快。

局限性:对流体的热物理性质(如比热容、导热系数)敏感,需预先校准。
三、层流压差式质量流量计的工作原理
层流压差式质量流量计基于流体力学中的层流效应,通过测量流体在层流状态下的压差来计算质量流量。其工作原理如下:
1. 层流元件与压差测量
流体通过一个设计为层流状态的毛细管或通道时,会产生压差。压差传感器测量入口与出口的压差 △p。
2. 层流效应与质量流量关系
根据层流流体力学公式:

其中:
△p为压差;
μ为流体粘度;
L为毛细管长度;
d为毛细管直径;
Q为体积流量。
通过测量压差△p,结合流体粘度μ 和几何参数(L、d),可计算体积流量 Q。再结合流体密度 ρ ,即可得到质量流量:

温度与压力补偿
由于流体粘度 μ和密度 ρ受温度、压力影响较大,层流压差式流量计通常配备温度和压力传感器,用于实时补偿,确保测量精度。
优势:高精度、稳定性强、不受流体热物理性质影响。
局限性:对流体粘度变化敏感,需定期校准。
四、科里奥利质量流量计的工作原理(简述)
科里奥利流量计基于科里奥利效应,通过测量流体在振动管道中产生的科里奥利力来直接测量质量流量。其核心优势在于:
直接测量质量流量,无需温度压力补偿;
高精度、宽量程比;
适用于液体和气体。
局限性:成本高、体积较大,对安装条件要求较高。

五、如何选择质量流量计?
1. 热式流量计:适合低成本、快速响应的场景(如实验室小流量测量)。
2. 层流压差式流量计:适合高精度、稳定性要求的工业应用(如半导体制造、燃料电池)。
3. 科里奥利流量计:适合高精度、直接测量质量流量的场景(如化工、石油行业)。
质量流量计作为工业与科研领域的“眼睛”,其工作原理虽各有不同,但核心目标始终是实现流体质量流量的精确测量。通过理解这些原理,我们不仅能更好地选择合适的流量计,也能为技术创新提供灵感。